Alkylation
Alkylphenols
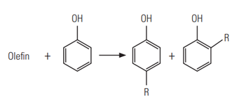
The major alkylation carried out with resin catalysts is the alkylation of phenol at moderate temperatures below 190°C.
Phenol alkylates are widely used in lubricants, as fuel additives, antioxidants and non ionic surfactants. The temperature is in the range of 85-130°C.
Resin catalyst can be used for the production of alkyl glucosides. In this case a C2-C12 alcohol can be used. As a side reaction acetone and oligoglucosides are formed.
Learn about our Catalyst Polymeric Resins
Catalysis - Use of Polymeric Resins (brochure - pdf)
TREVERLYST Catalysts - Loading and Washing Procedure (pdf)
TREVERLITE and TREVERLYST Catalysts - Procedure for Storage of Original Package (pdf)
TREVERLYST Catalysts -
Procedure for Storage of Catalysts during
Temporary Reactor Shutdown (pdf)
Recommended TREVERLYST catalysts for alkylation reaction:
| Trademark | Remarks |
|---|---|
| TREVERLYST CAT350/DRY | Macroporous. Very good activity and selectivity. |
| TREVERLYST CAT351/DRY | Macroporous. Very high activity and selectivity. |
| TREVERLYST CAT360/DRY | Macroporous. Improved thermal stability. |
| TREVERLYST CAT410 | Macroporous. Thermal stability up to 190°C. |